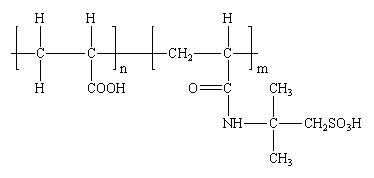
化学组成:丙烯酸-磺酸盐共聚物AA-AMPS
结构式:

技术指标
|
项目 |
技术指标 |
|---|---|
|
外观 |
无色至淡黄色透明液体 |
|
固体含量/% |
≥40 |
|
密度(20℃)/ g.cm-3 |
≥1.15 |
|
pH(1%水溶液) |
3.5~4.5 |
|
残留单体/% |
≤2.0 |
性能特点
Sinos 9102为环保型化学助剂,常作为无机浆料和水性涂料的分散剂使用,在制备低粘度、高固含量浆料时分散效果显著。
Sinos 9102还对印花浆料、工业涂料、陶瓷浆料、造纸涂布、碳酸钙粉体等有良好的分散作用,可以应用于筒子纱清洗、螯合分散剂、无泡皂洗剂、匀染剂等纺织助剂中。
参考用量
Sinos 9102作为涂料分散剂使用时建议用量为0.5~1.0%。其它行业做螯合分散剂使用时,可根据试验确定用量。
包装与贮存
Sinos 9102用塑料桶包装,每桶25kg、250kg或1000kg (可以根据需要确定)。贮于室内阴凉处,贮存期为十二个月。
安全防护
Sinos 9102为无毒无刺激物质,在生态环境中不会对动植物造成危害;产品呈弱酸性,操作时注意劳动保护,尽量避免与皮肤、眼睛等接触,接触后用大量清水冲洗即可。